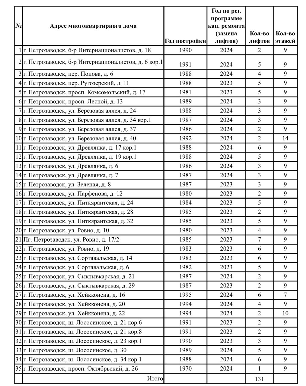
Со специальных счетов на счет Фонда капитального ремонта перевели 35 домов. Об этом сообщил вице-премьер правительства Карелии Виктор Россыпнов в своем телеграм-канале.
Среди них — 22 дома на Древлянке, 10 – на Кукковке, 2 – на Перевалке и 1 – на Октябрьском проспекте.
«Причина — истек 25-летний срок эксплуатации лифтов, владельцами специальных счетов мер по замене не принято. Теперь Фонд организует эту работу, очередность — в зависимости от объема собранных средств. В любом случае обратный переход на спецсчет будет возможен только после полного возмещения затрат Фонда на замену лифтового оборудования. В декабре такую же процедуру проведем в отношении нескольких домов в Костомукше, где также сроки замены лифтов вышли», — отметил Виктор Россыпнов.
![]()
